OPERACIONES CON MATRICES
Ejercicio: A partir de estas matrices…

a) Calcular A+B
b) Calcular B + A
c) Calcular A + (B+C)
Solución

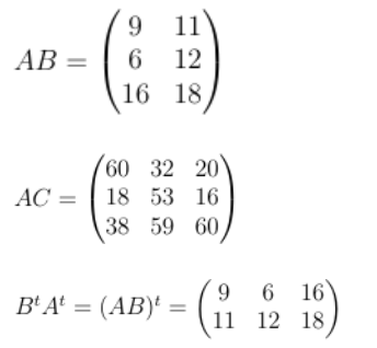
Ejercicio: A partir de estas matrices…

a) Calcular A·B
b) Calcular A·C
c) Calcular Bt · At
Solución

Ejercicio: Dada las matrices…

a) 2A+3B
b) A·B
c) B·A
d) A3
e) A·B-A2
f) 2B + B·A2
Solución

DETERMINANTE DE UNA MATRIZ
Ejercicio: Calcualar el determinante de las siguientes matrices

Solución

Ejercicio: Calcular el determinante de las siguientes matrices

Solución

Ejercicio: Calcular el determinante de las siguientes matrices

Solución
a) 8
b) -24
c) -21
d) -72
Ejercicio: Calcular el determinante de las siguientes matrices

Solución
a) 6
b) -21
c) -16
d) -54
INVERSA DE UNA MATRIZ
Ejercicio: Calcula la inversa de estas matrices

Solución

Ejercicio: Calcular la inversa de estas matrices…

Solución

RANGO DE LA MATRIZ
Ejercicio: Calcular el rango de estas matrices

Solución
a) Rango = 2
b) Rango = 1
Ejercicio: Calcular el rango de estas matrices

Solución
a) Rango = 1
b) Rango = 2
Ejercicio: Calcular el rango de estas matrices

Solución
a) Rango = 3
b) Rango = 2
Ejercicio: Calcular el rango de estas matrices

Solución
a) Rango= 2
b) Rango = 3
ECUACIONES MATRICIALES
Ejercicio: Resolve la siguiente ecuación AX=B si…

Solución:

Ejercicio: Resolver esta ecuación…

Solución:
