Funciones (representación, inversa)


Ejercicio: Indica si las siguientes gráficas son o no funciones.

Solución


Ejercicio: Identifica las coordenadas de esta gráfica

Solución:


Ejercicio: Calcula la tabla de valores de la siguiente función y = 3x + 1 y su representación gráfica

Solución


Ejercicio: A partir de la expresión algebraica de la función calcula su gráfica:

a) y = 2x – 5

b) y = -3x + 1

Solución


Ejercicio: Calcula la función inversa de las siguientes funciones

Soluciones:

Límite de funciones

Ejercicio: Resuelve los siguientes límites sin indeterminación

\( \large \lim_{x \to \infty} 2^{x+1} = \)

\(\large \lim_{x \to 10} \frac{x^2 – 100}{2x+1} = \)

\( \large \lim_{x \to \infty} \frac{x^3 – 3}{-2} = \)

\( \large \lim_{x \to \infty} \left( \frac{1}{3} \right)^{-2x+1} = \)

Solución:

\( \large \lim_{x \to \infty} 2^{x+1} = 2^{\infty+1} = 2^{\infty} = \infty \)

\( \large \lim_{x \to 10} \frac{x^2 – 100}{2x+1} = \frac{0}{21} = 0 \)

\( \large \lim_{x \to \infty} \frac{x^3 – 3}{-2} = \frac{\infty – 3}{-2} = \frac{\infty}{-2} = -\infty \)

\( \large \lim_{x \to \infty} \left( \frac{1}{3} \right)^{-2x+1} = \left( \frac{1}{3} \right)^{-\infty+1} = \left( \frac{1}{3} \right)^{-\infty} = 3^{\infty} = \infty \)

Ejercicio: Resuelve los siguientes límites con indeterminación 0/0


Ejercicio: Resuelve los siguientes límites con indeterminación ∞/∞


Ejercicio: Resuelve los siguientes límites con indeterminación ∞-∞


Ejercicio: Resuelve los siguientes límites con indeterminación 1


Ejercicio: Calcular con L´hopital:


Ejercicio: Resuelve los siguientes límites sobre funciones por partes

a)

b)

c)


Ejercicio: Calcular límites con funciones trigonométricas:

Derivadas de funciones


Ejercicio: Calcular las derivadas usando la definición de derivada en general

$$1) \ f(x)=k $$

$$1) \ f(x)=x^2 $$

$$1) \ f(x)=\sqrt{x} $$

Solución:

$$1) \ f'(x) = \lim_{x \to 0} \frac{f(x+h) – f(x)}{h} = \lim_{h \to 0} \frac{k – k}{h} = \lim_{h \to 0} \frac{0}{h} = \lim_{h \to 0} 0 = 0$$

$$2) \ f'(x) = \lim_{h \to 0} \frac{(x + h)^2 – x^2}{h} = \lim_{h \to 0} \frac{x^2 + 2xh + h^2 – x^2}{h} = \lim_{h \to 0} \frac{2xh + h^2}{h} = \lim_{h \to 0} (2x + h) = 2x$$

$$3) \ f'(x) = \lim_{h \to 0} \frac{\sqrt{x + h} – \sqrt{x}}{h} = \lim_{h \to 0} \frac{(\sqrt{x + h} – \sqrt{x})(\sqrt{x + h} + \sqrt{x})}{h(\sqrt{x + h} + \sqrt{x})} = \lim_{h \to 0} \frac{(x + h) – x}{h(\sqrt{x + h} + \sqrt{x})} = \lim_{h \to 0} \frac{h}{h(\sqrt{x + h} + \sqrt{x})} = \lim_{h \to 0} \frac{1}{\sqrt{x + h} + \sqrt{x}} = \frac{1}{\sqrt{x} + \sqrt{x}} = \frac{1}{2\sqrt{x}}$$


Ejercicio: Calcula las derivadas usando la definición de derivada en un punto:

$$1) \ f(x) = 3x – 2 \ \text{ en } x = 1$$

$$2) \ f(x) = -2x + 1 \ \text{ en } x = -3$$

$$3) \ f(x) = x^2 – 4 \ \text{ en } x = -2$$

$$4) \ f(x) = -x^2 + 5x – 3 \ \text{ en } x = 1$$

Solución:

$$1) \ f'(1) = \lim_{h \to 0} \frac{f(1 + h) – f(1)}{h} =$$

$$= \lim_{h \to 0} \frac{3(1 + h) – 2 – (3 – 2)}{h} =$$

$$= \lim_{h \to 0} \frac{3 + 3h – 2 – 3 + 2}{h} = \lim_{h \to 0} \frac{3h}{h} = 3$$

$$2) \ f'(-3) = \lim_{h \to 0} \frac{f(-3 + h) – f(-3)}{h} =$$

$$= \lim_{h \to 0} \frac{-2(-3 + h) + 1 – [-2 \cdot (-3) + 1]}{h} =$$

$$= \lim_{h \to 0} \frac{6 – 2h + 1 – 6 – 1}{h} = \lim_{h \to 0} \frac{-2h}{h} = -2$$

$$3) \ f'(-2) = \lim_{h \to 0} \frac{f(-2 + h) – f(-2)}{h} =$$

$$= \lim_{h \to 0} \frac{(-2 + h)^2 – 4 – [(-2)^2 – 4]}{h} =$$

$$= \lim_{h \to 0} \frac{4 – 4h + h^2 – 4 – 0}{h} =$$

$$= \lim_{h \to 0} \frac{-4h + h^2}{h} = \lim_{h \to 0} \frac{h(-4 + h)}{h} =$$

$$= \lim_{h \to 0} (-4 + h) = -4$$

$$4) \ f'(1) = \lim_{h \to 0} \frac{f(1 + h) – f(1)}{h} =$$

$$= \lim_{h \to 0} \frac{-(1 + h)^2 + 5(1 + h) – 3 – (-1^2 + 5 \cdot 1 – 3)}{h} =$$

$$= \lim_{h \to 0} \frac{-1 – 2h – h^2 + 5 + 5h – 3 + 1 – 5 + 3}{h} =$$

$$= \lim_{h \to 0} \frac{-h^2 + 3h}{h} = \lim_{h \to 0} \frac{h(-h + 3)}{h} =$$

$$= \lim_{h \to 0} (-h + 3) = 3$$


Ejercicio: Calcula las derivadas usando la tabla (nivel básico)

$$1) \ f(x) = 4x^5 – 3x^3 + 2x – 7$$

$$2) \ f(x) = \frac{1}{2}x^4 + 5x^2 – \pi$$

$$3) \ f(x) = (x^2 + 1)(x – 3)$$

$$4) \ f(x) = 10x^6 – x$$

$$5) \ f(x) = 2x^3 – 8x^2 + 4x$$

$$6) \ f(x) = \frac{3}{x^2}$$

$$7) \ f(x) = \frac{x+1}{x-1}$$

$$8) \ f(x) = \frac{2x^2}{x^2 + 4}$$

$$9) \ f(x) = \frac{1}{x^3 + x}$$

$$10) \ f(x) = \frac{x^2 – 1}{2x}$$

$$11) \ f(x) = \ln(x^2 + 1)$$

$$12) \ f(x) = \log_{10}(5x)$$

$$13) \ f(x) = \log_2(x)$$

$$14) \ f(x) = \log_3(x^2 – x)$$

$$15) \ f(x) = \ln(\sqrt{x})$$

$$16) \ f(x) = e^{3x}$$

$$17) \ f(x) = 2^x$$

$$18) \ f(x) = 5^{x^2}$$

$$19) \ f(x) = 10^{\sin(x)}$$

$$20) \ f(x) = e^{-x^2}$$

$$21) \ f(x) = \sqrt{x^2 + 5}$$

$$22) \ f(x) = \sqrt[3]{x^4 – 2x}$$

$$23) \ f(x) = \sqrt{\frac{1}{x}}$$

$$24) \ f(x) = \sqrt[5]{(3x + 1)^2}$$

$$25) \ f(x) = x \cdot \sqrt{x – 1}$$

Solución:

$$1) \ f'(x) = 20x^4 – 9x^2 + 2$$

$$2) \ f'(x) = 2x^3 + 10x$$

$$3) \ f'(x) = 3x^2 – 6x + 1$$

$$4) \ f'(x) = 60x^5 – 1$$

$$5) \ f'(x) = 6x^2 – 16x + 4$$

$$6) \ f'(x) = -\frac{6}{x^3}$$

$$7) \ f'(x) = -\frac{2}{(x-1)^2}$$

$$8) \ f'(x) = \frac{16x}{(x^2 + 4)^2}$$

$$9) \ f'(x) = -\frac{3x^2 + 1}{(x^3 + x)^2}$$

$$10) \ f'(x) = \frac{x^2 + 1}{2x^2}$$

$$11) \ f'(x) = \frac{2x}{x^2 + 1}$$

$$12) \ f'(x) = \frac{1}{x \ln 10}$$

$$13) \ f'(x) = \frac{1}{x \ln 2}$$

$$14) \ f'(x) = \frac{2x – 1}{(x^2 – x) \ln 3}$$

$$15) \ f'(x) = \frac{1}{2x}$$

$$16) \ f'(x) = 3e^{3x}$$

$$17) \ f'(x) = 2^x \ln 2$$

$$18) \ f'(x) = 2x \cdot 5^{x^2} \ln 5$$

$$19) \ f'(x) = \cos(x) \cdot 10^{\sin(x)} \ln 10$$

$$20) \ f'(x) = -2x e^{-x^2}$$

$$21) \ f'(x) = \frac{x}{\sqrt{x^2 + 5}}$$

$$22) \ f'(x) = \frac{4x^3 – 2}{3\sqrt[3]{(x^4 – 2x)^2}}$$

$$23) \ f'(x) = -\frac{1}{2x\sqrt{x}}$$

$$24) \ f'(x) = \frac{6}{5\sqrt[5]{(3x + 1)^3}}$$

$$25) \ f'(x) = \sqrt{x – 1} + \frac{x}{2\sqrt{x – 1}} = \frac{3x – 2}{2\sqrt{x – 1}}$$


Ejercicio: Calcula las derivadas usando la tabla (nivel básico)

$$1) \ a(x) = 3x^2$$

$$2) \ b(x) = \sqrt{x}$$

$$3) \ c(x) = e^x$$

$$4) \ d(x) = \ln(x)$$

$$5) \ e(x) = 2x^3 + 4x^2 – 7x + 1$$

$$6) \ f(x) = \frac{1}{x}$$

$$7) \ g(x) = \sin(x)$$

$$8) \ h(x) = \cos(x)$$

$$9) \ i(x) = \tan(x)$$

$$10) \ j(x) = e^{2x}$$

$$11) \ k(x) = \ln(2x)$$

$$12) \ l(x) = \sqrt{3x + 1}$$

$$13) \ m(x) = \frac{3}{x^2}$$

$$14) \ n(x) = \sin(2x)$$

$$15) \ ñ(x) = \cos(3x)$$

$$16) \ o(x) = \tan^2(x)$$

$$17) \ p(x) = e^{3x} + 2e^{2x} + e^x$$

$$18) \ q(x) = \ln(x^2 + 1)$$

$$19) \ r(x) = \sqrt{4x^2 + 1}$$

$$20) \ s(x) = \frac{2x}{x^2 + 1}$$

Solución:

$$1) \ a'(x) = 6x$$

$$2) \ b'(x) = \frac{1}{2\sqrt{x}}$$

$$3) \ c'(x) = e^x$$

$$4) \ d'(x) = \frac{1}{x}$$

$$5) \ e'(x) = 6x^2 + 8x – 7$$

$$6) \ f'(x) = -\frac{1}{x^2}$$

$$7) \ g'(x) = \cos(x)$$

$$8) \ h'(x) = -\sin(x)$$

$$9) \ i'(x) = \sec^2(x)$$

$$10) \ j'(x) = 2e^{2x}$$

$$11) \ k'(x) = \frac{1}{x}$$

$$12) \ l'(x) = \frac{3}{2\sqrt{3x + 1}}$$

$$13) \ m'(x) = -\frac{6}{x^3}$$

$$14) \ n'(x) = 2 \cos(2x)$$

$$15) \ ñ'(x) = -3 \sin(3x)$$

$$16) \ o'(x) = 2 \tan(x) \sec^2(x)$$

$$17) \ p'(x) = 3e^{3x} + 4e^{2x} + e^x$$

$$18) \ q'(x) = \frac{2x}{x^2 + 1}$$

$$19) \ r'(x) = \frac{4x}{\sqrt{4x^2 + 1}}$$

$$20) \ s'(x) = \frac{2(1 – x^2)}{(x^2 + 1)^2}$$


Ejercicio: Calcula las derivadas usando la tabla (nivel intermedio)

$$1) \ y = (1 + 4x^3) \cdot (1 + 2x^2)$$

$$2) \ y = \sqrt[5]{\left( \frac{x^2}{1 – x^2} \right)^3}$$

$$3) \ y = \ln \left( x + \sqrt{1 + x^2} \right)$$

$$4) \ y = \csc \frac{x}{a}$$

$$5) \ y = \log \frac{\sqrt{x^2 – 1}}{x + 1}$$

$$6) \ y = \sin^3 2x – \cos^3 2x$$

$$7) \ y = \sin [ \ln(3x + 5) ]$$

$$8) \ y = (\sin x)^x$$

$$9) \ y = (\sin x)^{\sin x}$$

$$10) \ y = \log_x (x^2 + 1)$$

$$11) \ y = \arcsin(\cos x – x)$$

$$12) \ y = (\ln x)^{\ln x}$$

$$13) \ y = \arccos \sqrt{\frac{x^2 – 1}{x^2 + 1}}$$

$$14) \ y = \arctan \sqrt{x^2 – 1}$$

$$15) \ y = \ln (\arctan x)$$

$$16) \ y = (\arcsin e^x)(\arccos 5^x)$$

$$17) \ y = \frac{1}{x} + \arctan x$$

$$18) \ y = \sqrt{a^2 – x^2} + a \cdot \arcsin \frac{x}{a}$$

$$19) \ y = x \cdot [\sin(\ln x) – \cos(\ln x)]$$

$$20) \ y = \arcsin \frac{x}{\sqrt{1 + x^2}}$$

Solución:

$$1) \ y’ = 20x^4 + 12x^2 + 8x$$

$$2) \ y’ = \frac{6x}{5(1-x^2)^2 \sqrt[5]{\frac{x^2}{1-x^2}^2}}$$

$$3) \ y’ = \frac{1}{\sqrt{1+x^2}}$$

$$4) \ y’ = -\frac{1}{a} \csc \frac{x}{a} \cot \frac{x}{a}$$

$$5) \ y’ = \frac{1}{\ln 10} \left( \frac{x}{x^2-1} – \frac{1}{x+1} \right)$$

$$6) \ y’ = 6 \sin^2 2x \cos 2x + 6 \cos^2 2x \sin 2x$$

$$7) \ y’ = \frac{3 \cos(\ln(3x+5))}{3x+5}$$

$$8) \ y’ = (\sin x)^x \left( \ln(\sin x) + x \cot x \right)$$

$$9) \ y’ = (\sin x)^{\sin x} \cos x (\ln(\sin x) + 1)$$

$$10) \ y’ = \frac{2x}{(x^2+1)\ln x} – \frac{\ln(x^2+1)}{x(\ln x)^2}$$

$$11) \ y’ = \frac{\sin x + 1}{\sqrt{1 – (\cos x – x)^2}}$$

$$12) \ y’ = (\ln x)^{\ln x} \frac{\ln(\ln x) + 1}{x}$$

$$13) \ y’ = \frac{x}{(x^2+1)\sqrt{x^2}}$$

$$14) \ y’ = \frac{1}{x \sqrt{x^2-1}}$$

$$15) \ y’ = \frac{1}{(1+x^2) \arctan x}$$

$$16) \ y’ = \frac{e^x \arccos 5^x}{\sqrt{1-e^{2x}}} – \frac{5^x \ln 5 \arcsin e^x}{\sqrt{1-5^{2x}}}$$

$$17) \ y’ = -\frac{1}{x^2} + \frac{1}{1+x^2}$$

$$18) \ y’ = 2\sqrt{a^2-x^2}$$

$$19) \ y’ = 2 \sin(\ln x)$$

$$20) \ y’ = \frac{1}{1+x^2}$$


Ejercicio: Calcula las derivadas usando la tabla (nivel avanzado)

$$1) \ a(x) = \frac{x^2 – 3}{x^2 + 3}$$

$$2) \ b(x) = \sqrt[3]{3x^2} $$

$$3) \ c(x) = \left( \frac{1 – x}{1 + x} \right)^{\frac{2}{3}}$$

$$4) \ d(x) = \frac{2}{x} + \frac{x^2}{2} $$

$$5) \ e(x) = \frac{\ln x}{x} $$

$$6) \ f(x) = 7e^{-x}$$

$$7) \ g(x) = \frac{e^{2x} \sin^{2}(x)}{\sqrt{x^{3} + 1}}$$

$$8) \ h(x) = \ln(\cos(x) + 2)$$

$$9) \ i(x) = x^{2} \cdot e^{-x}$$

$$10) \ j(x) = \frac{\tan(x)}{\cos^{2}(x)}$$

$$11) \ k(x) = \frac{e^{3x}}{\sqrt{1 + e^{2x}}}$$

$$12) \ l(x) = \ln \left( \frac{1 + e^{2x}}{x^{2} + 2} \right)$$

$$13) \ y = \sqrt{x} – \arctan \sqrt{x}$$

Solución:

$$1) \ a'(x) = \frac{12x}{(x^2 + 3)^2}$$

$$2) \ b'(x) = \frac{2}{\sqrt[3]{9x}}$$

$$3) \ c'(x) = \frac{-4}{3 \sqrt[3]{(1 – x)(1 + x)^5}}$$

$$4) \ d'(x) = -\frac{2}{x^2} + x = \frac{x^3 – 2}{x^2}$$

$$5) \ e'(x) = \frac{1 – \ln x}{x^2}$$

$$6) \ f'(x) = -7e^{-x}$$

$$7) \ g'(x) = \frac{e^{2x} (4 \sin(x) \cos(x) \sqrt{x^{3} + 1} + \sin^{2}(x)) – \frac{3}{2} x^{2} e^{2x} \sin^{2}(x)}{(x^{3} + 1)^{3/2}}$$

$$8) \ h'(x) = -\frac{\sin(x)}{\cos(x) + 2}$$

$$9) \ i'(x) = 2x e^{-x} – x^{2} e^{-x}$$

$$10) \ j'(x) = \frac{\sec^{2}(x) – 2 \tan(x) \sec(x)}{\cos^{4}(x)}$$

$$11) \ k'(x) = \frac{3e^{3x}(1 + e^{2x}) – \frac{1}{2} e^{5x}}{(1 + e^{2x})^{3/2}}$$

$$12) \ l'(x) = \frac{-4x e^{2x} + 2x e^{2x} \ln(x^{2} + 2) + e^{2x}}{(x^{2} + 2)(1 + e^{2x})}$$

$$13) \ y’ = \frac{1}{2\sqrt{x}(1+x)}$$


Funciones: continuidad y derivabilidad de una función

Ejercicio: Estudia la continuidad o discontinuidad de las siguientes funciones en el punto x=1

Solución:


Ejercicio: Calcula el valor de la incógnita k para que la función sea continua:

Soluciones:


Ejercicio: Analiza la derivabilidad de estas funciones

Solución:


Ejercicio: Estudia la derivabilidad en los puntos indicados

Soluciones:

Funciones: Análisis de funciones

Ejercicio: Analiza el dominio, crecimiento y decrecimiento de las siguientes funciones

a)\( f(x)= \large \frac{x^3} {x^2-4}\)        

b) \( f(x)=ln \: (x^2+4x-5)\)        

c) \( f(x)=\large \frac{3x}{1+x^2}\)        

Solución:

a) Dominio R – {-2,+2}

b) Dominio (-∞,-5) U (1,+∞)

c) Dominio = R


Ejercicio: Analiza crecimiento, decrecimiento, concavidad, convecidad, máximos, mínimos y los puntos de inflexión de las siguientes funciones:

a) \( y= x^3 – 6x^2 + 9x \)        

b) \( y= \frac{x^3 (3x-8)}{12}\)        

c) \( y=x^4-2x^3 \)        

Solulción:


Ejercicio: A partir de la función analiza dominio, rango, puntes de corte, vértice, asíntotas, crecimiento, decrecimiento, concavidad y convexidad. Luego intenta graficarla.
a) \( f(x)= x^2-4x+3 \)        

b) \( f(x)= \large \frac{2}{x-1} \)  

c) \( f(x)= \sqrt{x+2} \: – 1 \)  

d) \( f(x)= 2^{x} – 3 \)  

e) \( f(x)= ln \: (x-1) \)  

Solución:

a) Dominio: R, Rango: [-1, +∞), Puntos de corte: (1,0) (3,0) (0,3), Vértice (2,-1), Asíntotas: no tiene, Decrece (-∞,2), Crece (2,+∞), Convexa en todo su dominio

b) Dominio: R-{1}, Rango: R-{0}, Puntos de corte: (0,-2), Asíntotas: AV en x=1, AH en y=0, Decrece (-∞,1) U (1,+∞), Cóncava (-∞,1) Convexa (1,+∞)

c) Dominio: [-2,+∞), Rango: [-1,+∞), Puntos de corte: (-1,0), (0, 0,41), Asíntotas: no tiene, Crece [-2,+∞), Cóncava en todo su dominio

d) Dominio: R, Rango: (-3, +∞), Puntos de corte: (0,-2) (1,58 ,0), Asíntota horizontal en y=-3, Crece en todo su dominio, Convexa en todo su dominio

e) Dominio: (1,+∞) , Rango: R, Puntos de corte: (2,0), Asíntota vertical en x=1, Crece (1,+∞), Cóncava en todo su dominio


Ejercicio: Realiza el análisis de cada función de forma completa:

a) \( y=log_{2} \: (x+1) \)        

b) \( y= \large \frac{x^2+1}{x^2-1}\)        

Solución:

Integrales de funciones

Inmediatas:

$$\int x^5 \, dx = \frac{x^6}{6} + C$$

$$\int e^{2x} \, dx = \frac{1}{2}e^{2x} + C$$

$$\int x^{-3} \, dx = \frac{x^{-2}}{-2} + C = -\frac{1}{2x^2} + C$$

$$\int \sqrt{x} \, dx = \int x^{1/2} \, dx = \frac{x^{3/2}}{3/2} + C = \frac{2}{3}\sqrt{x^3} + C$$

$$\int \frac{1}{\sqrt[3]{x}} \, dx = \int x^{-1/3} \, dx = \frac{x^{2/3}}{2/3} + C = \frac{3}{2}\sqrt[3]{x^2} + C$$

$$\int 7x^2 \, dx = 7 \int x^2 \, dx = \frac{7x^3}{3} + C$$

$$\int 5^x \, dx = \frac{5^x}{\ln 5} + C$$

$$\int \frac{1}{x} \, dx = \ln|x| + C$$

$$\int \frac{3}{x} \, dx = 3 \ln|x| + C$$

$$\int e^{x+2} \, dx = e^{x+2} + C$$

$$\int \frac{1}{x} \, dx = \ln|x| + C$$

$$\int (x^2 + x + 1) \, dx = \frac{x^3}{3} + \frac{x^2}{2} + x + C$$

$$\int \frac{x+1}{x} \, dx = \int (1 + \frac{1}{x}) \, dx = x + \ln|x| + C$$

$$\int (x-2)^2 \, dx = \int (x^2 – 4x + 4) \, dx = \int x^2 \, dx – 4 \int x \, dx + 4 \int dx = \frac{x^3}{3} – 4 \frac{x^2}{2} + 4x + C = \frac{x^3}{3} – 2x^2 + 4x + C$$

$$\int \frac{1}{x^4} \, dx = \int x^{-4} \, dx = \frac{x^{-3}}{-3} + C = -\frac{1}{3} \frac{1}{x^3} + C$$

$$\int \frac{x^2 – x + 5}{x} \, dx = \int \left( x – 1 + \frac{5}{x} \right) \, dx = \int x \, dx – \int dx + 5 \int \frac{1}{x} \, dx = \frac{x^2}{2} – x + 5 \ln|x| + C$$

$$\int \sqrt[3]{x^2} \, dx = \int x^{2/3} \, dx = \frac{x^{5/3}}{5/3} + C = \frac{3}{5} x^{5/3} + C = \frac{3}{5} \sqrt[3]{x^5} + C = \frac{3}{5} x \sqrt[3]{x^2} + C$$

$$\int \frac{1}{5x – 2} \, dx = \frac{1}{5} \int \frac{5}{5x – 2} \, dx = \frac{1}{5} \ln|5x – 2| + C$$

$$\int e^{-3x} \, dx = -\frac{1}{3} \int -3e^{-3x} \, dx = -\frac{1}{3}e^{-3x} + C$$

$$\int (2x + 7)^4 \, dx = \frac{1}{2} \int 2(2x + 7)^4 \, dx = \frac{1}{2} \frac{(2x + 7)^5}{5} + C = \frac{(2x + 7)^5}{10} + C$$

$$\int \sqrt{4x – 1} \, dx = \frac{1}{4} \int 4(4x – 1)^{1/2} \, dx = \frac{1}{4} \frac{(4x – 1)^{3/2}}{3/2} + C = \frac{1}{6} \sqrt{(4x – 1)^3} + C$$

$$\int 3^{2x} \, dx = \frac{1}{2} \int 2 \cdot 3^{2x} \, dx = \frac{1}{2} \frac{3^{2x}}{\ln 3} + C$$

$$\int \frac{1}{\sqrt{5x + 2}} \, dx = \frac{1}{5} \int 5(5x + 2)^{-1/2} \, dx = \frac{1}{5} \frac{(5x + 2)^{1/2}}{1/2} + C = \frac{2}{5} \sqrt{5x + 2} + C$$

$$\int (e^x + e^{-x})^2 \, dx = \int (e^{2x} + 2 + e^{-2x}) \, dx = \frac{1}{2}e^{2x} + 2x – \frac{1}{2}e^{-2x} + C$$

$$\int \frac{1}{x \sqrt[4]{x}} \, dx = \int x^{-5/4} \, dx = \frac{x^{-1/4}}{-1/4} + C = -\frac{4}{\sqrt[4]{x}} + C$$

$$\int \frac{dx}{7 – x} = -\int \frac{-1}{7 – x} \, dx = -\ln|7 – x| + C$$

$$\int \frac{x + 3}{\sqrt{x}} \, dx = \int (x^{1/2} + 3x^{-1/2}) \, dx = \frac{2}{3}x^{3/2} + 6x^{1/2} + C$$

$$\int \frac{x^3 – 1}{x^2} \, dx = \int (x – x^{-2}) \, dx = \frac{x^2}{2} + \frac{1}{x} + C$$

$$\int e^{2x+3} \, dx = \frac{1}{2} \int 2e^{2x+3} \, dx = \frac{1}{2}e^{2x+3} + C$$

$$\int \frac{1}{1 – 3x} \, dx = -\frac{1}{3} \int \frac{-3}{1 – 3x} \, dx = -\frac{1}{3}\ln|1 – 3x| + C$$

$$\int \frac{1}{(4x + 1)^3} \, dx = \frac{1}{4} \int 4(4x + 1)^{-3} \, dx = \frac{(4x + 1)^{-2}}{4(-2)} + C = -\frac{1}{8(4x + 1)^2} + C$$

$$\int \sqrt[3]{5x – 2} \, dx = \frac{1}{5} \int 5(5x – 2)^{1/3} \, dx = \frac{1}{5} \frac{(5x – 2)^{4/3}}{4/3} + C = \frac{3}{20}\sqrt[3]{(5x – 2)^4} + C$$

$$\int \frac{dx}{\sqrt{1 – 2x}} = -\frac{1}{2} \int -2(1 – 2x)^{-1/2} \, dx = -\frac{1}{2} \frac{(1 – 2x)^{1/2}}{1/2} + C = -\sqrt{1 – 2x} + C$$

$$\int (\sqrt{x} – 1)^2 \, dx = \int (x – 2\sqrt{x} + 1) \, dx = \frac{x^2}{2} – \frac{4}{3}x^{3/2} + x + C$$


Por cambio de variable:
$$\int x\sqrt{x-1} \, dx = \begin{pmatrix} t = x-1 \\ dt = dx \end{pmatrix} = \int (t+1)\sqrt{t} \, dt = \int t\sqrt{t} \, dt + \int \sqrt{t} \, dt = \int t \cdot t^{1/2} \, dt + \int t^{1/2} \, dt = \int t^{3/2} \, dt + \int t^{1/2} \, dt = \frac{t^{5/2}}{5/2} + \frac{t^{3/2}}{3/2} + C = \frac{2}{5} t^{5/2} + \frac{2}{3} t^{3/2} + C = \frac{2}{5} (x-1)^{5/2} + \frac{2}{3} (x-1)^{3/2} + C$$


$$\int \frac{x^2}{x^3 – 2} \, dx = \begin{pmatrix} t = x^3 – 2 \\ dt = 3x^2 \, dx \end{pmatrix} = \frac{1}{3} \int \frac{dt}{t} = \frac{1}{3} \ln|t| + C = \frac{1}{3} \ln|x^3 – 2| + C$$


$$\int (e^x – 3)^4 e^x \, dx = \begin{pmatrix} t = e^x – 3 \\ dt = e^x \, dx \end{pmatrix} = \int t^4 \, dt = \frac{t^5}{5} + C = \frac{(e^x – 3)^5}{5} + C$$


$$\int \frac{\ln x}{x} \, dx = \begin{pmatrix} t = \ln x \\ dt = \frac{1}{x} \, dx \end{pmatrix} = \int t \, dt = \frac{t^2}{2} + C = \frac{(\ln |x|)^2}{2} + C$$

$$\int x\sqrt{x^2 + 5} \, dx = \left( \begin{matrix} t = x^2+5 \\ dt = 2x \, dx \end{matrix} \right) = \frac{1}{2} \int \sqrt{t} \, dt = \frac{1}{2} \frac{t^{3/2}}{3/2} + C = \frac{1}{3}(x^2+5)^{3/2} + C$$

$$\int x e^{x^2} \, dx = \left( \begin{matrix} t = x^2 \\ dt = 2x \, dx \end{matrix} \right) = \frac{1}{2} \int e^t \, dt = \frac{1}{2} e^t + C = \frac{1}{2} e^{x^2} + C$$

$$\int \frac{(\ln x)^3}{x} \, dx = \left( \begin{matrix} t = \ln x \\ dt = \frac{1}{x} dx \end{matrix} \right) = \int t^3 \, dt = \frac{t^4}{4} + C = \frac{(\ln x)^4}{4} + C$$

$$\int \frac{x^3}{(x^4 + 1)^2} \, dx = \left( \begin{matrix} t = x^4+1 \\ dt = 4x^3 dx \end{matrix} \right) = \frac{1}{4} \int t^{-2} \, dt = -\frac{1}{4t} + C = -\frac{1}{4(x^4+1)} + C$$

$$\int \frac{e^x}{\sqrt[3]{e^x + 2}} \, dx = \left( \begin{matrix} t = e^x+2 \\ dt = e^x dx \end{matrix} \right) = \int t^{-1/3} \, dt = \frac{t^{2/3}}{2/3} + C = \frac{3}{2}(e^x+2)^{2/3} + C$$

$$\int \frac{1}{x \sqrt{\ln x}} \, dx = \left( \begin{matrix} t = \ln x \\ dt = \frac{1}{x} dx \end{matrix} \right) = \int t^{-1/2} \, dt = 2\sqrt{t} + C = 2\sqrt{\ln x} + C$$

$$\int (x-1)(x^2 – 2x + 5)^4 \, dx = \left( \begin{matrix} t = x^2-2x+5 \\ dt = (2x-2) dx \end{matrix} \right) = \frac{1}{2} \int t^4 \, dt = \frac{t^5}{10} + C = \frac{(x^2-2x+5)^5}{10} + C$$

$$\int \frac{e^{\sqrt{x}}}{\sqrt{x}} \, dx = \left( \begin{matrix} t = \sqrt{x} \\ dt = \frac{1}{2\sqrt{x}} dx \end{matrix} \right) = 2 \int e^t \, dt = 2e^t + C = 2e^{\sqrt{x}} + C$$

$$\int \frac{1}{x (\ln x)^2} \, dx = \left( \begin{matrix} t = \ln x \\ dt = \frac{1}{x} dx \end{matrix} \right) = \int t^{-2} \, dt = -\frac{1}{t} + C = -\frac{1}{\ln x} + C$$

$$\int \frac{x+1}{x^2+2x+3} \, dx = \left( \begin{matrix} t = x^2+2x+3 \\ dt = (2x+2) dx \end{matrix} \right) = \frac{1}{2} \int \frac{1}{t} dt = \frac{1}{2} \ln|t| + C = \frac{1}{2} \ln|x^2+2x+3| + C$$

$$\int \frac{e^x}{e^x + 4} \, dx = \left( \begin{matrix} t = e^x + 4 \\ dt = e^x dx \end{matrix} \right) = \int \frac{1}{t} dt = \ln|t| + C = \ln(e^x + 4) + C$$

$$\int x^2 \sqrt{x^3 – 1} \, dx = \left( \begin{matrix} t = x^3 – 1 \\ dt = 3x^2 dx \end{matrix} \right) = \frac{1}{3} \int \sqrt{t} \, dt = \frac{1}{3} \frac{t^{3/2}}{3/2} + C = \frac{2}{9}(x^3 – 1)^{3/2} + C$$

$$\int \frac{\sqrt{\ln x}}{x} \, dx = \left( \begin{matrix} t = \ln x \\ dt = \frac{1}{x} dx \end{matrix} \right) = \int \sqrt{t} \, dt = \frac{t^{3/2}}{3/2} + C = \frac{2}{3}(\ln x)^{3/2} + C$$

$$\int (3x + 2)^5 \, dx = \left( \begin{matrix} t = 3x + 2 \\ dt = 3 dx \end{matrix} \right) = \frac{1}{3} \int t^5 \, dt = \frac{1}{3} \frac{t^6}{6} + C = \frac{(3x + 2)^6}{18} + C$$

$$\int x^2 e^{x^3 + 1} \, dx = \left( \begin{matrix} t = x^3 + 1 \\ dt = 3x^2 dx \end{matrix} \right) = \frac{1}{3} \int e^t \, dt = \frac{1}{3} e^t + C = \frac{1}{3} e^{x^3 + 1} + C$$

$$\int \frac{1}{x (\ln x)^4} \, dx = \left( \begin{matrix} t = \ln x \\ dt = \frac{1}{x} dx \end{matrix} \right) = \int t^{-4} \, dt = \frac{t^{-3}}{-3} + C = -\frac{1}{3(\ln x)^3} + C$$

$$\int \frac{x}{\sqrt{x^2 – 9}} \, dx = \left( \begin{matrix} t = x^2 – 9 \\ dt = 2x dx \end{matrix} \right) = \frac{1}{2} \int t^{-1/2} \, dt = \frac{1}{2} (2\sqrt{t}) + C = \sqrt{x^2 – 9} + C$$

$$\int e^{-x} (1 – e^{-x})^2 \, dx = \left( \begin{matrix} t = 1 – e^{-x} \\ dt = e^{-x} dx \end{matrix} \right) = \int t^2 \, dt = \frac{t^3}{3} + C = \frac{(1 – e^{-x})^3}{3} + C$$

$$\int \frac{x^4}{x^5 + 7} \, dx = \left( \begin{matrix} t = x^5 + 7 \\ dt = 5x^4 dx \end{matrix} \right) = \frac{1}{5} \int \frac{1}{t} dt = \frac{1}{5} \ln|t| + C = \frac{1}{5} \ln|x^5 + 7| + C$$

$$\int x \sqrt[3]{1 – x^2} \, dx = \left( \begin{matrix} t = 1 – x^2 \\ dt = -2x dx \end{matrix} \right) = -\frac{1}{2} \int t^{1/3} \, dt = -\frac{1}{2} \frac{t^{4/3}}{4/3} + C = -\frac{3}{8}(1 – x^2)^{4/3} + C$$


Ejercicio: Calcula las siguientes integrales por partes:

$$\int \ln x \, dx = \left( \begin{matrix} u = \ln x \Rightarrow du = \frac{dx}{x} \\ dv = dx \Rightarrow v = x \end{matrix} \right) = x \ln x – \int x \frac{dx}{x} = x \ln x – \int dx = x \ln x – x + C$$

$$\int xe^x \, dx = \left( \begin{matrix} u = x \Rightarrow du = dx \\ dv = e^x \, dx \Rightarrow v = e^x \end{matrix} \right) = xe^x – \int e^x \, dx = xe^x – e^x + C$$

$$\int x \ln x \, dx = \left( \begin{matrix} u = \ln x \Rightarrow du = \frac{dx}{x} \\ dv = x \, dx \Rightarrow v = \frac{x^2}{2} \end{matrix} \right) = \frac{x^2}{2} \ln x – \frac{1}{2} \int x^2 \frac{dx}{x} = \frac{x^2}{2} \ln x – \frac{1}{2} \int x \, dx = \frac{x^2}{2} \ln x – \frac{1}{2} \frac{x^2}{2} + C = \frac{x^2}{2} \ln x – \frac{x^2}{4} + C$$

$$\int x^2 e^x \, dx = \left( \begin{matrix} u = x^2 \Rightarrow du = 2x \, dx \\ dv = e^x \, dx \Rightarrow v = e^x \end{matrix} \right) = x^2 e^x – 2 \int xe^x \, dx = \left( \begin{matrix} u = x \Rightarrow du = dx \\ dv = e^x \, dx \Rightarrow v = e^x \end{matrix} \right) = x^2 e^x – 2 \left[ xe^x – \int e^x \, dx \right] = x^2 e^x – 2xe^x + 2 \int e^x \, dx = x^2 e^x – 2xe^x + 2e^x + C$$

$$\int x e^{3x} \, dx = \left( \begin{matrix} u = x \Rightarrow du = dx \\ dv = e^{3x} \, dx \Rightarrow v = \frac{1}{3}e^{3x} \end{matrix} \right) = \frac{x}{3}e^{3x} – \int \frac{1}{3}e^{3x} \, dx = \frac{x}{3}e^{3x} – \frac{1}{9}e^{3x} + C$$

$$\int x^2 \ln x \, dx = \left( \begin{matrix} u = \ln x \Rightarrow du = \frac{dx}{x} \\ dv = x^2 \, dx \Rightarrow v = \frac{x^3}{3} \end{matrix} \right) = \frac{x^3}{3} \ln x – \int \frac{x^3}{3} \frac{dx}{x} = \frac{x^3}{3} \ln x – \frac{1}{3} \int x^2 \, dx = \frac{x^3}{3} \ln x – \frac{x^3}{9} + C$$

$$\int \sqrt{x} \ln x \, dx = \left( \begin{matrix} u = \ln x \Rightarrow du = \frac{dx}{x} \\ dv = x^{1/2} \, dx \Rightarrow v = \frac{2}{3}x^{3/2} \end{matrix} \right) = \frac{2}{3}x^{3/2} \ln x – \int \frac{2}{3}x^{3/2} \frac{dx}{x} = \frac{2}{3}x^{3/2} \ln x – \frac{2}{3} \int x^{1/2} \, dx = \frac{2}{3}x^{3/2} \ln x – \frac{4}{9}x^{3/2} + C$$

$$\int \frac{\ln x}{x^2} \, dx = \left( \begin{matrix} u = \ln x \Rightarrow du = \frac{1}{x} dx \\ dv = x^{-2} \, dx \Rightarrow v = -x^{-1} \end{matrix} \right) = -\frac{\ln x}{x} – \int \left(-\frac{1}{x} \cdot \frac{1}{x}\right) \, dx = -\frac{\ln x}{x} + \int x^{-2} \, dx = -\frac{\ln x}{x} – \frac{1}{x} + C$$

$$\int x e^{-x} \, dx = \left( \begin{matrix} u = x \Rightarrow du = dx \\ dv = e^{-x} \, dx \Rightarrow v = -e^{-x} \end{matrix} \right) = -x e^{-x} – \int -e^{-x} \, dx = -x e^{-x} – e^{-x} + C$$

$$\int \frac{\ln x}{\sqrt{x}} \, dx = \left( \begin{matrix} u = \ln x \Rightarrow du = \frac{1}{x} dx \\ dv = x^{-1/2} \, dx \Rightarrow v = 2x^{1/2} \end{matrix} \right) = 2\sqrt{x} \ln x – \int \frac{2\sqrt{x}}{x} \, dx = 2\sqrt{x} \ln x – 4\sqrt{x} + C$$

$$\int (\ln x)^2 \, dx = \left( \begin{matrix} u = (\ln x)^2 \Rightarrow du = \frac{2 \ln x}{x} dx \\ dv = dx \Rightarrow v = x \end{matrix} \right) = x(\ln x)^2 – 2 \int \ln x \, dx = x(\ln x)^2 – 2(x \ln x – x) + C$$

$$\int (x^2 + 1) e^x \, dx = \left( \begin{matrix} u = x^2 + 1 \Rightarrow du = 2x \, dx \\ dv = e^x \, dx \Rightarrow v = e^x \end{matrix} \right) = (x^2 + 1)e^x – 2 \int x e^x \, dx = (x^2 + 1)e^x – 2(xe^x – e^x) + C$$

$$\int \frac{\ln x}{x^3} \, dx = \left( \begin{matrix} u = \ln x \Rightarrow du = \frac{1}{x} dx \\ dv = x^{-3} \, dx \Rightarrow v = -\frac{1}{2x^2} \end{matrix} \right) = -\frac{\ln x}{2x^2} + \int \frac{1}{2x^3} \, dx = -\frac{\ln x}{2x^2} – \frac{1}{4x^2} + C$$

$$\int (2x – 3) e^{2x} \, dx = \left( \begin{matrix} u = 2x – 3 \Rightarrow du = 2 \, dx \\ dv = e^{2x} \, dx \Rightarrow v = \frac{1}{2}e^{2x} \end{matrix} \right) = \frac{2x – 3}{2}e^{2x} – \int e^{2x} \, dx = \frac{2x – 3}{2}e^{2x} – \frac{1}{2}e^{2x} + C$$

$$\int \ln(\sqrt{x}) \, dx = \left( \begin{matrix} u = \ln(\sqrt{x}) \Rightarrow du = \frac{1}{2x} dx \\ dv = dx \Rightarrow v = x \end{matrix} \right) = x \ln(\sqrt{x}) – \int \frac{x}{2x} \, dx = x \ln(\sqrt{x}) – \frac{1}{2}x + C$$

$$\int (x+5) e^x \, dx = \left( \begin{matrix} u = x+5 \Rightarrow du = dx \\ dv = e^x \, dx \Rightarrow v = e^x \end{matrix} \right) = (x+5)e^x – \int e^x \, dx = (x+5)e^x – e^x + C = (x+4)e^x + C$$

$$\int x^{1/3} \ln x \, dx = \left( \begin{matrix} u = \ln x \Rightarrow du = \frac{1}{x} dx \\ dv = x^{1/3} \, dx \Rightarrow v = \frac{3}{4}x^{4/3} \end{matrix} \right) = \frac{3}{4}x^{4/3} \ln x – \int \frac{3}{4}x^{1/3} \, dx = \frac{3}{4}x^{4/3} \ln x – \frac{9}{16}x^{4/3} + C$$


Inmediatas Trigonométricas:

$$\int \sin(3x) \, dx = -\frac{1}{3}\cos(3x) + C$$


$$\int x \cos(x) \, dx = x \sin(x) + \cos(x) + C$$


$$\int \frac{1}{\sqrt{1-x^2}} \, dx = \sin^{-1}(x) + C$$


$$\int \frac{\tan(x)}{\cos^2(x)} \, dx = \frac{1}{2}\tan^2(x) + C \text{ o } \frac{1}{2}\sec^2(x) + C$$


$$\int (3e^x – \sin x \, dx = 3 \int e^x \, dx – \int \sin x \, dx = 3e^x + \cos x + C$$


$$\int \frac{3}{5x^2 + 5} \, dx = \frac{3}{5} \int \frac{1}{x^2 + 1} \, dx = \frac{3}{5} \arctan x + C$$


$$\int \sqrt{\frac{4}{9 – 9x^2}} \, dx = \int \sqrt{\frac{4}{9}} \sqrt{\frac{1}{1 – x^2}} \, dx = \sqrt{\frac{4}{9}} \int \frac{1}{\sqrt{1 – x^2}} \, dx = \frac{2}{3} \arcsin x + C$$

$$\int \frac{\sin x}{\sqrt{\cos x}} dx = \begin{pmatrix} t = \cos x \\ dt = -\sin x dx \end{pmatrix} = \int \frac{-dt}{\sqrt{t}} = -\int \frac{1}{t^{1/2}} dt = -\int t^{-1/2} dt = -\frac{t^{1/2}}{1/2} + C = -2t^{1/2} + C = -2\sqrt{t} + C = -2\sqrt{\cos x} + C$$

$$\int x \sin x \, dx = \left( \begin{matrix} u = x \Rightarrow du = dx \\ dv = \sin x \, dx \Rightarrow v = -\cos x \end{matrix} \right) = -x \cos x – \int (-\cos x) \, dx = -x \cos x + \int \cos x \, dx = -x \cos x + \sin x + C$$

$$\int \arctan x \, dx = \left( \begin{matrix} u = \arctan x \Rightarrow du = \frac{1}{1+x^2} dx \\ dv = dx \Rightarrow v = x \end{matrix} \right) = x \arctan x – \int \frac{x}{1+x^2} \, dx = x \arctan x – \frac{1}{2} \ln(1+x^2) + C$$

$$\int x \cos(2x) \, dx = \left( \begin{matrix} u = x \Rightarrow du = dx \\ dv = \cos(2x) \, dx \Rightarrow v = \frac{1}{2}\sin(2x) \end{matrix} \right) = \frac{x}{2}\sin(2x) – \int \frac{1}{2}\sin(2x) \, dx = \frac{x}{2}\sin(2x) + \frac{1}{4}\cos(2x) + C$$


Integrales definidas

$$\int_{0}^{2} x^2 \, dx = \left[ \frac{x^3}{3} \right]_{0}^{2} = \frac{8}{3}$$

$$\int_{1}^{e} \frac{1}{x} \, dx = \left[ \ln|x| \right]_{1}^{e} = 1 – 0 = 1$$

$$\int_{0}^{4} \sqrt{x} \, dx = \left[ \frac{2}{3}x^{3/2} \right]_{0}^{4} = \frac{2}{3}(8) = \frac{16}{3}$$

$$\int_{1}^{3} (2x + 1) \, dx = [x^2 + x]_{1}^{3} = (9+3) – (1+1) = 10$$

$$\int_{1}^{2} \frac{1}{x^2} \, dx = [-\frac{1}{x}]_{1}^{2} = -\frac{1}{2} – (-1) = \frac{1}{2}$$

$$\int_{0}^{1} 2^x \, dx = [\frac{2^x}{\ln(2)}]_{0}^{1} = \frac{2}{\ln(2)} – \frac{1}{\ln(2)} = \frac{1}{\ln(2)}$$

$$\int_{0}^{1} (x+1)^3 \, dx = [\frac{(x+1)^4}{4}]_{0}^{1} = \frac{16}{4} – \frac{1}{4} = \frac{15}{4}$$

$$\int_{-1}^{1} (3x^2 – 1) \, dx = [x^3 – x]_{-1}^{1} = (1-1) – (-1 – (-1)) = 0$$

$$\int_{1}^{9} \frac{1}{\sqrt{x}} \, dx = [2\sqrt{x}]_{1}^{9} = 2(3) – 2(1) = 4$$

$$\int_{0}^{2} (x^3 + 3x^2 – 5x + 2) \, dx = [\frac{x^4}{4} + x^3 – \frac{5x^2}{2} + 2x]_{0}^{2} = 4 + 8 – 10 + 4 = 6$$

$$\int_{-1}^{1} (4x^3 – 2x + 6) \, dx = [x^4 – x^2 + 6x]_{-1}^{1} = (1-1+6) – (1-1-6) = 12$$

$$\int_{0}^{3} (x-2)^2 \, dx = \int_{0}^{3} (x^2 – 4x + 4) \, dx = [\frac{x^3}{3} – 2x^2 + 4x]_{0}^{3} = 9 – 18 + 12 = 3$$


Matrices

OPERACIONES CON MATRICES


Ejercicio: Dada las matrices…

$$A = \begin{pmatrix} -1 & 2 \\ -3 & 4 \end{pmatrix} \quad B = \begin{pmatrix} 0 & -1 \\ -1 & 5 \end{pmatrix}$$

a) 2A+3B
b) A · B
c) B · A
d) A3
e) A·B-A2
f) 2B + B·A2

Solución:

$$a) \begin{pmatrix} -2 & 1 \\ -9 & 23 \end{pmatrix} \ b) \begin{pmatrix} -2 & 11 \\ -4 & 23 \end{pmatrix} \ c) \begin{pmatrix} 3 & -4 \\ -14 & 18 \end{pmatrix} \\ d) \begin{pmatrix} -13 & 14 \\ -21 & 22 \end{pmatrix}\ e) \begin{pmatrix} 3 & 5 \\ 5 & 13 \end{pmatrix} \ f) \begin{pmatrix} 9 & -12 \\ -42 & 54 \end{pmatrix}$$


Ejercicio: A partir de estas matrices…
$$A = \begin{pmatrix} 1 & 0 & 2 \\ -1 & 3 & 1 \\ 0 & 2 & 1 \end{pmatrix} \quad B = \begin{pmatrix} 2 & 1 & 0 \\ 0 & -1 & 2 \\ 1 & 1 & 3 \end{pmatrix}$$

a) A + B
b) A · B
c) B · A
d) A2
e) 2A – B

Solución:

$$a) \begin{pmatrix} 3 & 1 & 2 \\ -1 & 2 & 3 \\ 1 & 3 & 4 \end{pmatrix} \ b) \begin{pmatrix} 4 & 3 & 6 \\ -1 & -3 & 9 \\ 1 & -1 & 7 \end{pmatrix} \ c) \begin{pmatrix} 1 & 3 & 5 \\ 1 & 1 & 1 \\ 0 & 9 & 6 \end{pmatrix} \\ \\ d) \begin{pmatrix} 1 & 4 & 4 \\ -4 & 11 & 2 \\ -2 & 8 & 3 \end{pmatrix} \ e) \begin{pmatrix} 0 & -1 & 4 \\ -2 & 7 & 0 \\ -1 & 3 & -1 \end{pmatrix}$$


Ejercicio: A partir de estas matrices…

$$A = \begin{pmatrix} -1 & 3 & 2 & 5 \\ 4 & 1 & 0 & -6 \end{pmatrix} \quad B = \begin{pmatrix} 0 & 0 & 3 & 2 \\ 4 & 3 & -9 & 7 \end{pmatrix} \quad C = \begin{pmatrix} 2 & -4 & 6 & 5 \\ 4 & -3 & 2 & 8 \end{pmatrix}$$

a) A+B
b) B + A
c) A + (B+C)

Solución:

$$a) \begin{pmatrix} -1 & 3 & 5 & 7 \\ 8 & 4 & -9 & 1 \end{pmatrix} \ b) \begin{pmatrix} -1 & 3 & 5 & 7 \\ 8 & 4 & -9 & 1 \end{pmatrix} \ c) \begin{pmatrix} 1 & -1 & 11 & 12 \\ 12 & 1 & -7 & 9 \end{pmatrix}$$


Ejercicio: Calcualar el determinante de las siguientes matrices

$$a) \begin{vmatrix} 2 & 5 \\ 3 & 4 \end{vmatrix} \quad b) \begin{vmatrix} 1 & 0 \\ -2 & -3 \end{vmatrix} \quad c) \begin{vmatrix} 2 & 1 \\ 0 & -1 \end{vmatrix} \quad d) \begin{vmatrix} 0 & 0 \\ 1 & -25 \end{vmatrix} $$

Solución:

a) -7 b) -3 c) -2 d) 0


Ejercicio: Calcular el determinante de las siguientes matrices

$$a) \begin{vmatrix} 1 & 2 & 3 \\ 1 & 1 & -1 \\ 2 & 0 & 5 \end{vmatrix} \quad b) \begin{vmatrix} 1 & 8 & 1 \\ 1 & 7 & 0 \\ 1 & 6 & -1 \end{vmatrix} \quad c) \begin{vmatrix} 1 & 2 & 3 \\ 7 & 0 & 0 \\ 0 & -2 & -1 \end{vmatrix}$$

$$d) \begin{vmatrix} 1 & 1 & 1 \\ 0 & -1 & 1 \\ 1 & -7 & 5 \end{vmatrix} \quad e) \begin{vmatrix} 1 & 0 & 8 \\ 0 & -5 & 5 \\ 1 & -6 & 2 \end{vmatrix} \quad f) \begin{vmatrix} 3 & 3 & 3 \\ 0 & 0 & 1 \\ 5 & -3 & 2 \end{vmatrix}$$

Solución:

a) -15 b) 0 c) -28 d) 4 e) 60 f) 24


Ejercicio: Calcular el determinante de las siguientes matrices

$$a) \begin{vmatrix} 8 & 8 & 7 & 18 \\ 8 & 4 & 4 & 9 \\ 4 & 1 & 1 & 1 \\ 4 & 3 & 3 & 9 \end{vmatrix} \quad b) \begin{vmatrix} 4 & 3 & 7 \\ 12 & 10 & 27 \\ 8 & 7 & 14 \end{vmatrix} \quad c) \begin{vmatrix} 4 & 3 & 7 \\ 13 & 11 & 28 \\ 8 & 7 & 14 \end{vmatrix} \quad d) \begin{vmatrix} 9 & 8 & 7 & 18 \\ 8 & 5 & 4 & 9 \\ 4 & 1 & 2 & 1 \\ 4 & 3 & 3 & 9 \end{vmatrix}$$

Solución

a) 8 b) -24 c) -21 d) -72


Ejercicio: Calcular el determinante de las siguientes matrices

$$a) \begin{vmatrix} 6 & 8 & 7 & 20 \\ 6 & 4 & 4 & 10 \\ 3 & 1 & 1 & 1 \\ 3 & 3 & 3 & 10 \end{vmatrix} \quad b) \begin{vmatrix} 3 & 3 & 8 \\ 9 & 10 & 31 \\ 6 & 7 & 16 \end{vmatrix} \quad c) \begin{vmatrix} 3 & 3 & 8 \\ 10 & 11 & 32 \\ 6 & 7 & 16 \end{vmatrix} \quad d) \begin{vmatrix} 7 & 8 & 7 & 20 \\ 6 & 5 & 4 & 10 \\ 3 & 1 & 2 & 1 \\ 3 & 3 & 3 & 10 \end{vmatrix}$$

Solución

a) 6 b) -21 c) -16 d) -54


Ejercicio: Calcula la inversa de estas matrices

$$A = \begin{pmatrix} 1 & 4 \\ 1 & -6 \end{pmatrix} \quad B = \begin{pmatrix} 1 & 2 & 1 \\ 1 & 0 & 0 \\ 0 & 3 & 1 \end{pmatrix} \quad C = \begin{pmatrix} 1 & 1 & 0 \\ 0 & 1 & 1 \\ 0 & 0 & 6 \end{pmatrix} \quad D = \begin{pmatrix} 1 & 2 & 5 \\ 1 & 3 & 2 \\ 2 & 4 & 9 \end{pmatrix} \quad E = \begin{pmatrix} 1 & 2 & 1 & 1 \\ 1 & 0 & 0 &2\\ 0 &2 & 1 & 0 \\ 3 & 2 & 2 & 0 \end{pmatrix}$$

Solución:

$$A = \begin{pmatrix} 3/5 & 2/5 \\ 1/10 & -1/10 \end{pmatrix}, B = \begin{pmatrix} 0 & 1 & 0 \\ -1 & 1 & 1 \\ 3 & -3 & -2 \end{pmatrix}, C = \begin{pmatrix} 1 & -1 & 1/6 \\ 0 & 1 & -1/6 \\ 0 & 0 & 1/6 \end{pmatrix}, D = \begin{pmatrix} -19 & -2 & 11 \\ 5 & 1 & -3 \\ 2 & 0 & -1\end{pmatrix} , E = \begin{pmatrix} 2 & -1 & -2 & 0 \\ 3 & -3/2 & -2 & -1/2 \\ -6 &3 & 5 &1 \\ -1 & 1 & 1 & 0 \end{pmatrix}$$


Ejercicio: Calcular el rango de estas matrices

$$A = \begin{pmatrix} 2 & -4 \\ 3 & 5 \end{pmatrix} \quad B = \begin{pmatrix} 2 & -1 \\ -6 & 3 \end{pmatrix} \quad C = \begin{pmatrix} 2 & -3 & 5 \\ 6 & -9 & 15 \end{pmatrix} \quad D = \begin{pmatrix} 1 & 2 \\ 3 & 0 \\ -2 & 5 \end{pmatrix}$$

$$ E = \begin{pmatrix} 4 & -3 & 2 \\ 0 & 5 & 3 \\ -7 & 6 & 9 \end{pmatrix} \quad F = \begin{pmatrix} 1 & 2 & 3 \\ 4 & 5 & 6 \\ 7 & 8 & 9 \end{pmatrix} \quad G = \begin{pmatrix} 2 & -3 & 0 & 1 \\ 6 & -3 & 7 & -2 \\ 4 & 0 & 7 & -3 \end{pmatrix} \quad H = \begin{pmatrix} 6 & 0 & 2 \\ -2 & 4 & 0 \\ 2 & 7 & 1 \\ 4 & -2 & 5 \end{pmatrix}$$

Solución:

a) 2 b) 1 c) 1 d) 2 e) 3 f) 2 g) 2 h) 3


Ejercicio: Resolve la siguiente ecuación AX=B si…

$$A = \begin{pmatrix} 1 & 0 & 0 \\ 2 & 1 & 0 \\ 1 & 0 & 1 \end{pmatrix} \quad B = \begin{pmatrix} 0 & 1 \\ 1 & 0 \\ 1 & 1 \end{pmatrix}$$

Solución:

$$X = \begin{pmatrix} 0 & 1 \\ 1 & -2 \\ 1 & 0 \end{pmatrix}$$


Ejercicio: Resolver esta ecuación…

$$X \cdot \begin{pmatrix} 2 & 3 \\ 5 & 7 \end{pmatrix} – 3 \begin{pmatrix} 0 & 2 \\ -1 & 1 \end{pmatrix} = \begin{pmatrix} -1 & -2 \\ 5 & 0 \end{pmatrix}$$

Solución:

$$X = \begin{pmatrix} 27 & -11 \\ 1 & 0 \end{pmatrix}$$


Ejercicio: Resolver esta ecuación… A·X + C = B·X

$$A=\begin{pmatrix} 2 & 3 &-1 \\ 4&0 & 0 \\2&-1 &3 \end{pmatrix} \quad B=\begin{pmatrix} 1 & 2 &3 \\ 0 &-1 &2 \\ 1 &0 &1 \end{pmatrix} \quad C=\begin{pmatrix} 2 & 1 \\ 0 & 1\\ 0 &2 \end{pmatrix}$$

Solución:

$$X=\begin{pmatrix} 0 & -3/5 \\ 2 &16/5 \\ 1 &9/10 \end{pmatrix}$$


Se trata de despejar la X como en las ecuaciones normales sin matrices pero ahora respetando las propiedades de las matrices inversa, traspuesta, identidad…

Consejos:
– separar lo que tenga X a un lado y lo que no tenga X a otro
– A·X=B se despeja como X=A-1 · B («por donde se golpea a la X se golpea a la B») Error: X=B·A-1
– sacar factor común cuando se pueda X·A+X·B=X(A+B)
– A-1· A = I y A · A-1 = I

Ejercicio: Resuelve las siguientes ecuaciones matriciales de forma general (sin números)

$$a) AX = B \\ b) XA = B \\ c) AX + B = C \\ d) AXB = BA \\ e) XA + C = XB \\ f) AXA^t = A \\ g) AX – X = B \\ h) AXB = C \\ i) BXB = B(X+A)$$

Solución:

$$a) AX = B \rightarrow A^{-1} \cdot A \cdot X = A^{-1} \cdot B \rightarrow I \cdot X = A^{-1} \cdot B \rightarrow X = A^{-1} \cdot B$$

$$b) XA = B \rightarrow X \cdot A \cdot A^{-1} = B \cdot A^{-1} \rightarrow X \cdot I = B \cdot A^{-1} \rightarrow X = B \cdot A^{-1}$$

$$c) AX + B = C \rightarrow AX = C – B \rightarrow A^{-1} \cdot A \cdot X = A^{-1} \cdot (C – B) \rightarrow X = A^{-1} \cdot (C – B)$$

$$d) AXB = BA \rightarrow A^{-1} \cdot A \cdot X \cdot B \cdot B^{-1} = A^{-1} \cdot B \cdot A \cdot B^{-1} \rightarrow X = A^{-1} \cdot B \cdot A \cdot B^{-1}$$

$$e) XA + C = XB \rightarrow XA – XB = -C \rightarrow X(A – B) = -C \rightarrow X = (-C)(A – B)^{-1}$$

$$f) AXA^t = A \rightarrow A^{-1} \cdot A \cdot X \cdot A^t \cdot (A^t)^{-1} = A^{-1} \cdot A \cdot (A^t)^{-1} \rightarrow X = (A^t)^{-1}$$

$$g) AX – X = B \rightarrow (A – I)X = B \rightarrow (A – I)^{-1}(A – I)X = (A – I)^{-1} \cdot B \rightarrow X = (A – I)^{-1} \cdot B$$

$$h) AXB = C \rightarrow A^{-1} \cdot A \cdot X \cdot B \cdot B^{-1} = A^{-1} \cdot C \cdot B^{-1} \rightarrow X = A^{-1} \cdot C \cdot B^{-1}$$

$$i) BXB = B(X+A) \rightarrow B^{-1} \cdot BXB = B^{-1} \cdot B \cdot (X+A) \rightarrow XB = X+A \rightarrow X(B – I) = A \rightarrow X = A \cdot (B – I)^{-1}$$


Ejercicio: Resuelve las siguientes ecuaciones matriciales de forma general (sin números)

$$a) A^{-1}XB + C = I \\ b)(A + X)B = C \\ c)B(A^t + X) = C \\ d)AXB^{-1} + C = 0 \\ e)AX + BX = -C \\ f)AX + C = BX \\ g)XA + B = CA $$

Solución:

$$a) A^{-1}XB = I – C \rightarrow A \cdot A^{-1}XB \cdot B^{-1} = A \cdot (I – C) \cdot B^{-1} \rightarrow I \cdot X \cdot I = A \cdot (I – C) \cdot B^{-1} \rightarrow X = A \cdot (I – C) \cdot B^{-1}$$

$$b) (A + X)B \cdot B^{-1} = C \cdot B^{-1} \rightarrow (A + X) \cdot I = C \cdot B^{-1} \rightarrow A + X = C \cdot B^{-1} \rightarrow X = C \cdot B^{-1} – A$$

$$c) B^{-1} \cdot B \cdot (A^t + X) = B^{-1} \cdot C \rightarrow I \cdot (A^t + X) = B^{-1} \cdot C \rightarrow A^t + X = B^{-1} \cdot C \rightarrow X = B^{-1} \cdot C – A^t$$

$$d) AXB^{-1} = -C \rightarrow A^{-1} \cdot AXB^{-1} \cdot B = A^{-1} \cdot (-C) \cdot B \rightarrow I \cdot X \cdot I = A^{-1} \cdot (-C) \cdot B \rightarrow X = A^{-1} \cdot (-C) \cdot B$$

$$e) (A + B)X = -C \rightarrow (A + B)^{-1}(A + B) \cdot X = (A + B)^{-1} \cdot (-C) \rightarrow I \cdot X = (A + B)^{-1} \cdot (-C) \rightarrow X = (A + B)^{-1} \cdot (-C)$$

$$f) AX – BX = -C \rightarrow (A – B)X = -C \rightarrow (A – B)^{-1}(A – B) \cdot X = (A – B)^{-1} \cdot (-C) \rightarrow I \cdot X = (A – B)^{-1} \cdot (-C) \rightarrow X = (A – B)^{-1} \cdot (-C)$$

$$g) XA = CA – B \rightarrow XA \cdot A^{-1} = (CA – B) \cdot A^{-1} \rightarrow X \cdot I = (CA – B) \cdot A^{-1} \rightarrow X = (CA – B) \cdot A^{-1}$$


Probabilidad

SUCESOS

Ejercicio:

a) Calcular espacio muestral.
b) Calcular suceso A.
c) Calcular suceso B.
d) Calcular AUB.
e) Calcular A∩B.
d) Calcular A-B.
e) Calcular contrario de A.

Solución:

a) E={1,2,3,4,5,6,7,8,9,10,11,12}
b) A={2,4,6,8,10,12}
c) B={3,6,9,12}
d) AUB={2,4,8,10,6,12,3,9}
e) A∩B={6,12}
d) A-B={2,4,8,10}
e) Contrario de A={1,5,7,11,3,9}


Ejercicio: En una urna hay 10 bolas numeradas del 1 al 10. Se realiza un experimento que consiste en extraer una bola al azar de la urna. Define los siguientes sucesos:
a) Suceso C: «El número de la bola extraída es mayor que 5».
b) Suceso A: «El número de la bola extraída es par».
c) Suceso B: «El número de la bola extraída es un múltiplo de 3».
d)Suceso: (A∩B)
e) Suceso: (AUC)

Solución:

a) {2,4,6,8,10}
b) {3,6,9}
c) {6,7,8,9,10}
d) {6}
e) {2,4,6,7,8,9,10}


Ejercicio: A partir del dibujo calcular los siguientes sucesos.

a) A
b) B
c) A-B
d) No B
e) A intersección No B
f) A intersección B
g) A menos la intersección de A y B
h) A unión B
i) No (A intersección B)
j) No A unión No B

Solución:

PROBABILIDAD CONDICIONADA

Ejercicio: Un taller sabe que por término medio acuden: por la mañana tres automóviles con problemas eléctricos, ocho con problemas mecánicos y tres con problemas de chapa, y por la tarde dos con problemas eléctricos, tres con problemas mecánicos y uno con problemas de chapa.
a) Calcula el porcentaje de los que acuden por la tarde.
b) Calcula el porcentaje de los que acuden por problemas mecánicos.
c) Calcula la probabilidad de que un automóvil con problemas eléctricos acuda por la mañana.
d) Calcula la probabilidad de que tenga un problema mecánicos o acuda por la Tarde.

Solución:

Ejercicio: Una clase tiene 24 alumnos y todos ellos cursan inglés y matemáticas. La mitad aprueban inglés, 16 aprueban matemáticas, y 4 suspenden inglés y matemáticas.
a) Realiza una tabla de contingencia con los resultados de esta clase.
b) En esta clase, ¿son independientes los sucesos “aprobar inglés” y “aprobar matemáticas”?
c) Calcula la probabilidad de que, al elegir un alumno de esta clase al azar, resulte que aprueba
matemáticas y suspende inglés.

Solución:

Ejercicio: En un viaje organizado por Europa para 120 personas, 48 de los que van saben hablar Inglés, 36 saben hablar Francés y 12 de ellos hablan los dos idiomas.
Escogemos uno de los viajeros al azar.
a) ¿Cuál es la probabilidad de que hable alguno de los dos idiomas?
b) ¿Cuál es la probabilidad de que hable Francés, sabiendo que habla Inglés?
c) ¿Cuál es la probabilidad de que solo hable Francés?

Solución:

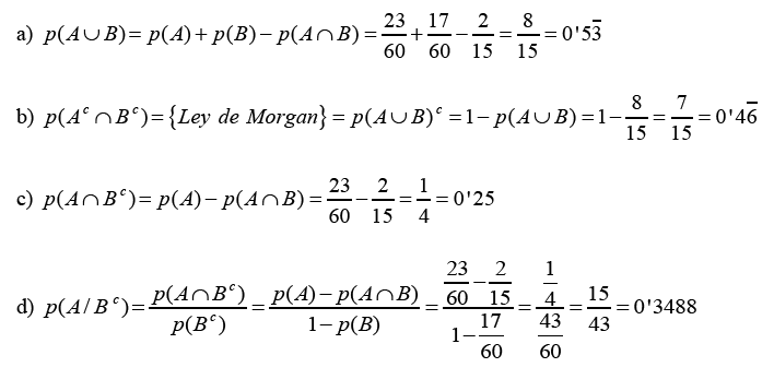
Ejercicio: En una clase de 30 alumnos hay 18 que han aprobado Matemáticas, 16 que han aprobado Inglés y 6 que no han aprobado ninguna de las dos.
Elegimos al azar un alumno de esa clase:
a) ¿Cuál es la probabilidad de que se haya aprobado Inglés y Matemáticas?
b) Sabiendo que ha aprobado Matemáticas, ¿cuál es la probabilidad de que haya aprobado Inglés?
c) ¿Son independientes los sucesos “Aprobar Matemáticas” y “Aprobar Inglés”?

Solución:

Ejercicio: Se sortea un viaje a Roma entre los 120 mejores clientes de una agencia de automóviles. De ellos, 65 son mujeres, 80 están casados y 45 son mujeres casadas. Se pide:
a) ¿Cuál será la probabilidad de que le toque el viaje a un hombre soltero?
b) Si del afortunado se sabe que es casado, ¿cuál será la probabilidad de que sea una mujer?
c) ¿Cuál es la probabilidad de que sea Hombre o Soltero?
d) ¿Son independientes los sucesos “Hombres” y “Casados”?
e) ¿Cuál es la probabilidad de que sea Mujer?

Solución:


A 120 estudiantes se les ha recomendado la lectura de dos libros. Se sabe que 46 de ellos han leído el primer libro recomendado, 34 el segundo y 16 estudiantes han leído ambos libros. Se
elige un estudiante al azar.
a) Calcule la probabilidad de que haya leído alguno de los dos libros.
b) Calcule la probabilidad de que no haya leído ninguno de los dos libros.
c) Calcule la probabilidad de que solamente haya leído el primer libro.
d) Calcule la probabilidad de que haya leído el primer libro, si se sabe que no ha leído el segundo.

Solución:

TEOREMA DE BAYES Y PROBABILIDAD TOTAL

Ejercicio: Una firma de perfumería cuenta con tres cadenas de producción, A, B y C, en las que se envasa su nueva fragancia. La cadena A envasa el 20% del total de perfumes que salen a la venta; la cadena B, el 50%; la C, el 30%. La probabilidad de que un envase sea defectuoso es de 1/3 en A; 1/6 en B y de 1/4 en C. Calcular:
a) La probabilidad de que escogido un envase al azar, este no sea defectuoso.
b) La probabilidad de que un envase no sea defectuoso y proceda de la cadena B.
c) Si un envase es defectuoso, ¿cuál es la probabilidad de que provenga de la cadena C?

Solución:


Ejercicio: En una empresa dedicada a la fabricación de teléfonos móviles, tres máquinas A, B y C, finalizan el proceso de producción con la colocación de las carcasas. La máquina A gestiona el 55% de la producción total de la fábrica; la máquina B, el 30%; la C, el 15%. El 1% de los móviles que han pasado por la máquina A tienen algún defecto en su carcasa. En el caso de la máquina B, se trata del 2%. En la C,
es del 4%.
a) Calcular la probabilidad de que escogido un móvil al azar, éste no tenga defectos en su carcasa.
b) Calcular la probabilidad de que un móvil tenga la carcasa defectuosa y proceda de la máquina C.
c) Se escoge al azar un móvil con deficiencias en su carcasa. ¿Qué máquina tiene la mayor probabilidad de
haber colocado esa pieza?

Solución:


Ejercicio: Tres personas se encargan de los cobros de la caja de un supermercado. El mes pasado, la primera de ellas realizó el 30% de los cobros, la segunda el 45% y la tercera el resto. La dirección del supermercado ha comprobado que de los cobros realizados por la primera persona, el 1% son erróneos, que la segunda cometió errores en el 3% de los cobros y la tercera en el 2%. a) Calcule la probabilidad de que un cobro elegido al azar haya sido erróneo. b) Se elige al azar un cobro correcto. ¿Cuál es la probabilidad de que haya sido realizado por la segunda persona?

Solución:

Ejercicio: El censo de una población andaluza está compuesto en total por 15000 personas, de las cuales 8500 son mujeres. Se sabe que el 15% de las mujeres y el 20% de los hombres censados en dicha población han viajado alguna vez a un país extranjero. Se elige al azar una persona censada en dicha población. a) ¿Cuál es la probabilidad de que haya viajado al extranjero? b) Si se sabe que esta persona no ha viajado al extranjero, ¿cuál es la probabilidad de que sea hombre?

Solución:

Ejercicio: Se sabe que el 65% de los estudiantes de bachillerato de Andalucía ha participado en programas Erasmus+ y que de ellos, el 80% ha mejorado su calificación en lengua extranjera. De los estudiantes que no han participado en programas Erasmus+, mejoran su calificación en lengua extranjera el 30%. Se elige al azar un estudiante de bachillerato de Andalucía. a) ¿Cuál es la probabilidad de que haya mejorado su calificación en lengua extranjera? b) Si se sabe que ha mejorado su calificación en lengua extranjera, ¿cuál es la probabilidad de que haya participado en un programa Erasmus+?

Solución:

Ejercicio: El 47% de los jóvenes andaluces tienen una vida sedentaria. De ellos, el 72% presentan obesidad, mientras que solamente la presentan el 22% de los jóvenes no sedentarios. Se elige al azar un joven andaluz. a) Calcule la probabilidad de que sea sedentario y no presente obesidad. b) Calcule la probabilidad de que presente obesidad. c) Calcule la probabilidad de que sea sedentario, sabiendo que presenta obesidad.

Solución:
\\\\\\\\\\\\\\\\\\\\\\\"Este sitio usa cookies para mejorar la experiencia del usuario. Puede consultar política de cookies para ver más información.\\\\\\\\\\\\\\\\\\\\\\\"    Política cookies.
Privacidad